Вход на сайт
Очень нужна ваша помощь!!! математический вопрос!
315
28.10.07 14:31
Очень нужна ваша помощь! обязательно нужно решить до завтра пример, а я не могу, хотя пытаюсь уже час!!!
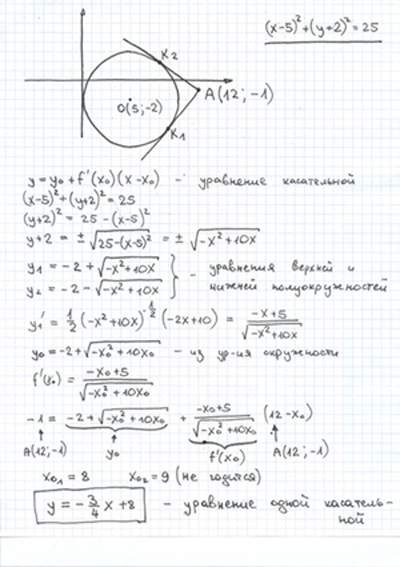
дан круг: k: (x-5)^2+(y+2)^2=25 ---> Средняя точка круга находится на (5;-2), а радиус равен 5!
дана точка p с координатами (12;-1)
нужно высчитать уравнение тангенты, проходящей через точку Р и касающая круга k
прошу помочь, потому что это действительно важно!
дан круг: k: (x-5)^2+(y+2)^2=25 ---> Средняя точка круга находится на (5;-2), а радиус равен 5!
дана точка p с координатами (12;-1)
нужно высчитать уравнение тангенты, проходящей через точку Р и касающая круга k
прошу помочь, потому что это действительно важно!
NEW 29.10.07 10:30
Будьте добры, посмотрите вот эту ссылку, в которой рассматривается аналогичная задача (Nr: 0428).
Вам остается только подставить Ваше уравнение и координаты точки "P".
http://a-geometry.narod.ru/decisions/img_17/0428.gif
в ответ Neoxxx 28.10.07 14:31
В ответ на:
дан круг: k: (x-5)^2+(y+2)^2=25 ---> Средняя точка круга находится на (5;-2), а радиус равен 5!
дана точка p с координатами (12;-1)
нужно высчитать уравнение тангенты, проходящей через точку Р и касающая круга k
дан круг: k: (x-5)^2+(y+2)^2=25 ---> Средняя точка круга находится на (5;-2), а радиус равен 5!
дана точка p с координатами (12;-1)
нужно высчитать уравнение тангенты, проходящей через точку Р и касающая круга k
Будьте добры, посмотрите вот эту ссылку, в которой рассматривается аналогичная задача (Nr: 0428).
Вам остается только подставить Ваше уравнение и координаты точки "P".
http://a-geometry.narod.ru/decisions/img_17/0428.gif
NEW 31.10.07 22:09


