Login
Вопрос по прикреплению ╖ 8
NEW 14.11.09 07:53
Так разберитесь. Начать можно с этого: http://foren.germany.ru/other/t/377161.html?Cat=&page=0&view=expanded&sb=5
и вот еще: http://faq.germany.ru/status.db/items/63.html?op=
in Antwort dellaros 14.11.09 01:13
В ответ на:
Вообще-то я ничего не утверждала и хотела сама в этом вопросе разобраться.
Вообще-то я ничего не утверждала и хотела сама в этом вопросе разобраться.
Так разберитесь. Начать можно с этого: http://foren.germany.ru/other/t/377161.html?Cat=&page=0&view=expanded&sb=5
и вот еще: http://faq.germany.ru/status.db/items/63.html?op=
NEW 14.11.09 08:42
Если не владеете актуальной информацией (а именно она как правило и интересует), не стоит писать.
in Antwort dellaros 13.11.09 23:54
В ответ на:
Ааа..., как сейчас я не знаю... Самые позние знакомые, кот. сюда переехали, уже 5 лет здесь. А новых уже давным- давно не видела.
Ааа..., как сейчас я не знаю... Самые позние знакомые, кот. сюда переехали, уже 5 лет здесь. А новых уже давным- давно не видела.
Если не владеете актуальной информацией (а именно она как правило и интересует), не стоит писать.
NEW 14.11.09 08:43
in Antwort Викa 14.11.09 01:51
Подскажите пожалуйста..какой параграф у мужа ,жена которого имеет ?4?
верю в счастливый конец света!
NEW 14.11.09 09:03
in Antwort vlawr 14.11.09 08:43
Если браку есть 3 года - то у мужа будет ╖7. Если браку нет трех лет - то у мужа будет ╖8.
NEW 14.11.09 09:46
см. FAQ.
in Antwort dellaros 14.11.09 00:31
В ответ на:
Aуууу, господин Dresdner, рассудите нас!!
Скажите, имеют ли 4 и 8 параграфы право на два гражданства?
Моё мнение - нет.
Aуууу, господин Dresdner, рассудите нас!!
Скажите, имеют ли 4 и 8 параграфы право на два гражданства?
Моё мнение - нет.
см. FAQ.
NEW 14.11.09 10:38
in Antwort dellaros 13.11.09 22:17
Хотелось бы по подробнее по поводу льгот, пособий и прав для 8 пар., и могут ли возникнуть проблеммы с трудоустройством.
То что два гражданства лучше, чем одно это понятно, но хотелось бы для себя сделать выводы на сколько разница сельёзна, что бы принять решение, ждать или не тратить драгоценное время.
По поводу шпрахкурсов, то сейчас они бесплатны и для 8 пар. тоже.
И ещё такой вопрос: меняется ли что-то для 8 пар. если он имеет ребёнка по 7пар.?
То что два гражданства лучше, чем одно это понятно, но хотелось бы для себя сделать выводы на сколько разница сельёзна, что бы принять решение, ждать или не тратить драгоценное время.
По поводу шпрахкурсов, то сейчас они бесплатны и для 8 пар. тоже.
И ещё такой вопрос: меняется ли что-то для 8 пар. если он имеет ребёнка по 7пар.?
NEW 14.11.09 11:40
in Antwort bryz09 14.11.09 10:38
нет никаких льгот, работу для ╖8 как и всем искать самим, разрешение на работу будет сразу с видом на жительство-внж, его нужно получить до окончания срока въездной визы
пособия рассчитываются на семью независимо от параграфа
подробности тут, смотреть как супруг(а/) немецкого гражданина http://faq.germany.ru/status.db/items/63.html?op=
пособия рассчитываются на семью независимо от параграфа
подробности тут, смотреть как супруг(а/) немецкого гражданина http://faq.germany.ru/status.db/items/63.html?op=
NEW 14.11.09 13:06
in Antwort Викa 14.11.09 11:40
Выездная виза для переселенцев обычно на какой срок выдаётся?
NEW 14.11.09 13:08
юридически, как правило, нет. А вот на практике... Далеко не все работодатели безразличны в этом вопросе и предпочтением пользуются все-таки больше лица с немецкими паспортами. НО! Хорошее владение языком, опыт работы могут легко сдвинуть планку в сторону претендента с 8 параграфом. Ну и еще уменьшенная зарплата, тоже фактор.
in Antwort bryz09 14.11.09 10:38
В ответ на:
могут ли возникнуть проблеммы с трудоустройством.
могут ли возникнуть проблеммы с трудоустройством.
юридически, как правило, нет. А вот на практике... Далеко не все работодатели безразличны в этом вопросе и предпочтением пользуются все-таки больше лица с немецкими паспортами. НО! Хорошее владение языком, опыт работы могут легко сдвинуть планку в сторону претендента с 8 параграфом. Ну и еще уменьшенная зарплата, тоже фактор.
NEW 14.11.09 13:10
in Antwort Black Milk 14.11.09 13:07
NEW 14.11.09 13:15
in Antwort kriptograf 14.11.09 13:10
Ни одна виза не продлевается.
Нац. виза для ╖8 магическим образом "превращается" в Aufenthaltserlaubnis после визита к Ausländeramt.
Нац. виза для ╖8 магическим образом "превращается" в Aufenthaltserlaubnis после визита к Ausländeramt.
NEW 14.11.09 13:18
in Antwort Black Milk 14.11.09 13:15
На практике таки да. Все эти вопросы решаются намного раньше срока истечения визы. Но теоретически возможность продления есть
NEW 14.11.09 14:13
in Antwort kriptograf 14.11.09 13:18
Все верно.
Теоретическая возможность есть, но сложно себе представить чтобы это касалось ╖8 BVFG
В ответ на:
AufenthG
Kapitel 2
Einreise und Aufenthalt im Bundesgebiet
Abschnitt 1
...╖ 6 Visum
(1) Einem Ausländer kann
ein Schengen-Visum für die Durchreise oder
ein Schengen-Visum für Aufenthalte von bis zu drei Monaten pro Halbjahr (kurzfristige Aufenthalte)
erteilt werden, wenn die Erteilungsvoraussetzungen des Schengener Durchführungsübereinkommens und der dazu ergangenen Ausführungsvorschriften erfüllt sind. In Ausnahmefällen kann das Schengen-Visum aus völkerrechtlichen oder humanitären Gründen oder zur Wahrung politischer Interessen der Bundesrepublik Deutschland erteilt werden, wenn die Erteilungsvoraussetzungen des Schengener Durchführungsübereinkommens nicht erfüllt sind. In diesen Fällen ist die Gültigkeit räumlich auf das Hoheitsgebiet der Bundesrepublik Deutschland zu beschränken.
(2) Das Visum für kurzfristige Aufenthalte kann auch für mehrere Aufenthalte mit einem Gültigkeitszeitraum von bis zu fünf Jahren mit der Maßgabe erteilt werden, dass der Aufenthaltszeitraum jeweils drei Monate innerhalb einer Frist von sechs Monaten von dem Tag der ersten Einreise an nicht überschreiten darf.
(3) Ein nach Absatz 1 Satz 1 erteiltes Schengen-Visum kann in besonderen Fällen bis zu einer Gesamtaufenthaltsdauer von drei Monaten innerhalb einer Frist von sechs Monaten von dem Tag der ersten Einreise an verlängert werden. Dies gilt auch dann, wenn das Visum von einer Auslandsvertretung eines anderen Schengen-Anwenderstaates erteilt worden ist. Für weitere drei Monate innerhalb der betreffenden Sechsmonatsfrist kann das Visum nur unter den Voraussetzungen des Absatzes 1 Satz 2 verlängert werden.
(4) Für längerfristige Aufenthalte ist ein Visum für das Bundesgebiet (nationales Visum) erforderlich, das vor der Einreise erteilt wird. Die Erteilung richtet sich nach den für die Aufenthaltserlaubnis, die Niederlassungserlaubnis und die Erlaubnis zum Daueraufenthalt-EG geltenden Vorschriften. Die Dauer des rechtmäßigen Aufenthalts mit einem nationalen Visum wird auf die Zeiten des Besitzes einer Aufenthaltserlaubnis, Niederlassungserlaubnis oder Erlaubnis zum Daueraufenthalt-EG angerechnet.
AufenthG
Kapitel 2
Einreise und Aufenthalt im Bundesgebiet
Abschnitt 1
...╖ 6 Visum
(1) Einem Ausländer kann
ein Schengen-Visum für die Durchreise oder
ein Schengen-Visum für Aufenthalte von bis zu drei Monaten pro Halbjahr (kurzfristige Aufenthalte)
erteilt werden, wenn die Erteilungsvoraussetzungen des Schengener Durchführungsübereinkommens und der dazu ergangenen Ausführungsvorschriften erfüllt sind. In Ausnahmefällen kann das Schengen-Visum aus völkerrechtlichen oder humanitären Gründen oder zur Wahrung politischer Interessen der Bundesrepublik Deutschland erteilt werden, wenn die Erteilungsvoraussetzungen des Schengener Durchführungsübereinkommens nicht erfüllt sind. In diesen Fällen ist die Gültigkeit räumlich auf das Hoheitsgebiet der Bundesrepublik Deutschland zu beschränken.
(2) Das Visum für kurzfristige Aufenthalte kann auch für mehrere Aufenthalte mit einem Gültigkeitszeitraum von bis zu fünf Jahren mit der Maßgabe erteilt werden, dass der Aufenthaltszeitraum jeweils drei Monate innerhalb einer Frist von sechs Monaten von dem Tag der ersten Einreise an nicht überschreiten darf.
(3) Ein nach Absatz 1 Satz 1 erteiltes Schengen-Visum kann in besonderen Fällen bis zu einer Gesamtaufenthaltsdauer von drei Monaten innerhalb einer Frist von sechs Monaten von dem Tag der ersten Einreise an verlängert werden. Dies gilt auch dann, wenn das Visum von einer Auslandsvertretung eines anderen Schengen-Anwenderstaates erteilt worden ist. Für weitere drei Monate innerhalb der betreffenden Sechsmonatsfrist kann das Visum nur unter den Voraussetzungen des Absatzes 1 Satz 2 verlängert werden.
(4) Für längerfristige Aufenthalte ist ein Visum für das Bundesgebiet (nationales Visum) erforderlich, das vor der Einreise erteilt wird. Die Erteilung richtet sich nach den für die Aufenthaltserlaubnis, die Niederlassungserlaubnis und die Erlaubnis zum Daueraufenthalt-EG geltenden Vorschriften. Die Dauer des rechtmäßigen Aufenthalts mit einem nationalen Visum wird auf die Zeiten des Besitzes einer Aufenthaltserlaubnis, Niederlassungserlaubnis oder Erlaubnis zum Daueraufenthalt-EG angerechnet.
Теоретическая возможность есть, но сложно себе представить чтобы это касалось ╖8 BVFG
NEW 14.11.09 17:28
in Antwort kriptograf 14.11.09 13:10
А что значит виза с правом продления, это до выезда что ли её можно продлить или по прибытию, для оформления документов?
NEW 16.11.09 12:13
in Antwort bryz09 14.11.09 17:28
Развитие темы в ответе М.Рокара на мое электронное письмо.
Все решилось без доп. письменных разьяснений.
Для всех кому это актуально, тут все довольно лаконично изложено.
Осталось только дождаться этого Anlage от него.
Всем ждущим решений советую писать, звонить и как можно чаще. Удачи!
Все решилось без доп. письменных разьяснений.
Для всех кому это актуально, тут все довольно лаконично изложено.
В ответ на:
Sehr geehrter Herr .....,
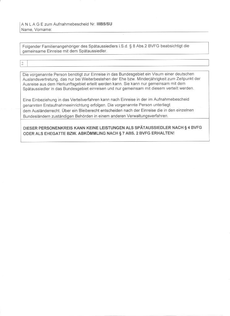
wie Frau Sebode Ihnen bereits mitgeteilt hat, kann eine Einbeziehung Ihrer Ehefrau in Ihren Aufnahmebescheid als nichtdeutsche Ehegattin eines Spätaussiedlers gem. ╖ 7 Abs. 2 BVFG frühestens nach Ablauf einer 3-jährigen Ehedauer erfolgen, also am 10. September 2012. Damit Sie nicht so lange mit der Ausreise warten müssen, werde ich für Ihre Ehefrau in Kürze eine Anlage zu Ihrem Aufnahmebescheid nach ausländerrechtlichen Bestimmungen als weitere Familienangehörige im Sinne des ╖ 8 Abs. 2 BVFG erteilen. Auf Grundlage dieser Anlage kann Ihre Ehefrau aber nach Einreise in die Bundesrepublik Deutschland keine Aufnahme nach dem Bundesvertriebenengesetz finden und somit auch nicht die deutsche Staatsangehörigkeit durch Aufnahme erwerben, sondern sich hier nur nach ausländerrechtlichen Bestimmungen aufhalten. Wenn Ihre Ehefrau die deutsche Staatsangehörigkeit erwerben will, müssen Sie mit Ihr mindestens bis zum 10. September 2012 in Russland verbleiben.
Das Einbeziehungsverfahren Ihrer Ehefrau wird unter dem Aktenzeichen IIIB5/SU-...... durchgeführt. Das falsch angegebene Aktenzeichen im Schreiben vom 26.10.2009 bitte ich zu entschuldigen.
Die Anlage zu Ihrem Aufnahmebescheid nach ausländerrechtlichen Bestimmungen für Ihre Ehefrau sende ich Ihnen in Kürze zu. Bei der gemeinsamen Vorlage der Anlage und Ihres Aufnahmebescheides bei der zuständigen deutschen Auslandsvertretung erhalten Sie ein Visum, welches Sie und Ihre Ehefrau zur gemeinsamen Einreise nach Deutschland berechtigt.
Mit freundlichen Grüßen
Im Auftrag
Martin Rokahr
Sehr geehrter Herr .....,
wie Frau Sebode Ihnen bereits mitgeteilt hat, kann eine Einbeziehung Ihrer Ehefrau in Ihren Aufnahmebescheid als nichtdeutsche Ehegattin eines Spätaussiedlers gem. ╖ 7 Abs. 2 BVFG frühestens nach Ablauf einer 3-jährigen Ehedauer erfolgen, also am 10. September 2012. Damit Sie nicht so lange mit der Ausreise warten müssen, werde ich für Ihre Ehefrau in Kürze eine Anlage zu Ihrem Aufnahmebescheid nach ausländerrechtlichen Bestimmungen als weitere Familienangehörige im Sinne des ╖ 8 Abs. 2 BVFG erteilen. Auf Grundlage dieser Anlage kann Ihre Ehefrau aber nach Einreise in die Bundesrepublik Deutschland keine Aufnahme nach dem Bundesvertriebenengesetz finden und somit auch nicht die deutsche Staatsangehörigkeit durch Aufnahme erwerben, sondern sich hier nur nach ausländerrechtlichen Bestimmungen aufhalten. Wenn Ihre Ehefrau die deutsche Staatsangehörigkeit erwerben will, müssen Sie mit Ihr mindestens bis zum 10. September 2012 in Russland verbleiben.
Das Einbeziehungsverfahren Ihrer Ehefrau wird unter dem Aktenzeichen IIIB5/SU-...... durchgeführt. Das falsch angegebene Aktenzeichen im Schreiben vom 26.10.2009 bitte ich zu entschuldigen.
Die Anlage zu Ihrem Aufnahmebescheid nach ausländerrechtlichen Bestimmungen für Ihre Ehefrau sende ich Ihnen in Kürze zu. Bei der gemeinsamen Vorlage der Anlage und Ihres Aufnahmebescheides bei der zuständigen deutschen Auslandsvertretung erhalten Sie ein Visum, welches Sie und Ihre Ehefrau zur gemeinsamen Einreise nach Deutschland berechtigt.
Mit freundlichen Grüßen
Im Auftrag
Martin Rokahr
Осталось только дождаться этого Anlage от него.
Всем ждущим решений советую писать, звонить и как можно чаще. Удачи!
NEW 16.11.09 13:37
Мне этот товарищ (г-н Рокар) нравится все больше и больше :) Отвечает оперативно, да к тому же на нормальном понятном человеческом немецком
in Antwort Black Milk 16.11.09 12:13
In Antwort auf:
Осталось только дождаться этого Anlage от него.
Всем ждущим решений советую писать, звонить и как можно чаще. Удачи!
Осталось только дождаться этого Anlage от него.
Всем ждущим решений советую писать, звонить и как можно чаще. Удачи!
Мне этот товарищ (г-н Рокар) нравится все больше и больше :) Отвечает оперативно, да к тому же на нормальном понятном человеческом немецком
NEW 11.12.09 10:10
in Antwort _User_ 16.11.09 13:37






